Georgia Institute of Technology

Educating Aerospace students to make them better engineers

About this experience

As a Teaching Assistant for Georgia Tech's Aerospace Engineering program, I supported the delivery of "Physics of Dynamic Systems" to second-year engineering students. This challenging course forms the foundation for advanced aircraft dynamics and control systems. I developed and delivered supplemental lectures that effectively bridged conceptual gaps in the primary curriculum, while refining my ability to communicate complex aerospace concepts in an accessible and engaging manner. Through this role, I cultivated an inclusive learning environment that fostered genuine enthusiasm for aerospace engineering among students.

Contact: Adam Steinberg
Phone: 404-894-1130
Duration Jan - May 2023
My Role Teaching Assistant
Responsibility Lectures, office hours, exams, students

Educational Impact & Contributions

My efforts contributed to faster and better learning and fostered good engineers

71
Students taught
30%
Reduction in professor workload
24
Lectures delivered

Key Deliverables

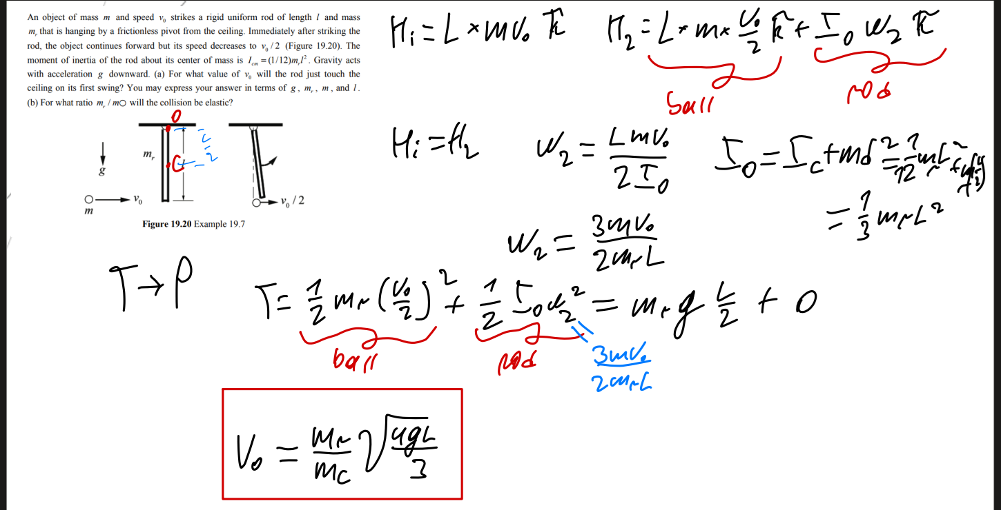
  • Supplemental Instruction: Designed and delivered comprehensive review lectures that reinforced core concepts through additional problem-solving sessions, identifying and addressing student knowledge gaps in real-time
  • Assessment Development: Created rigorous examination materials that accurately measured student comprehension of dynamic systems principles, providing valuable feedback for curriculum improvement
  • Individual Student Support: Conducted weekly two-hour office hours, providing personalized academic support tailored to each student's learning style and skill level, resulting in improved course performance
  • Engagement Innovation: Integrated unconventional aerospace applications and real-world problems into lectures to spark curiosity and cultivate lasting passion for aerospace engineering among students